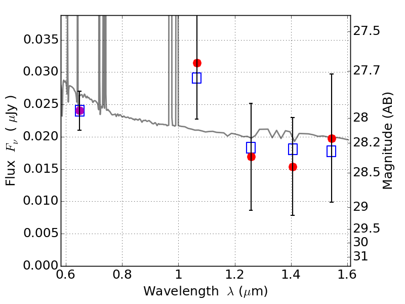
RXC0142+44-PAR IR detection object #1517

Color images and BPZ results
Catalog: 1517.cat
Black segments are analyzed here.   Roll mouse over color images to view segments.
Best viewed in a wide browser window (1200 pixels or more).   Download SED & P(z) plots to view larger versions.
In P(z) plots: Yellow lines mark the cluster redshift z = 0.341,  

Object #1517   x,y = (3071, 1659)   RA, Dec = (01:43:14.808, 44:32:47.40) = (25.81170, 44.54650)   BPZ = 0.481 [0.126--3.604]   type = 11.00 (SB11_A_0_l)   chisq2 = 0.13   ODDS = 0.09   z_cluster = 0.341