RXC0142+44-PAR IR detection object #1243

Color images and BPZ results
Catalog: 1243.cat
Black segments are analyzed here.   Roll mouse over color images to view segments.
Best viewed in a wide browser window (1200 pixels or more).   Download SED & P(z) plots to view larger versions.
In P(z) plots: Yellow lines mark the cluster redshift z = 0.341,  

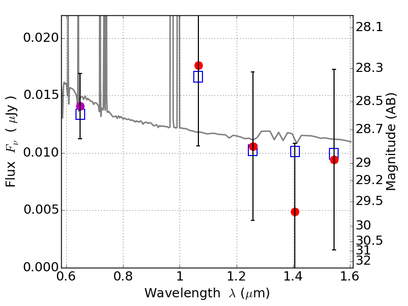
Object #1243   x,y = (2993, 2109)   RA, Dec = (01:43:15.264, 44:33:14.40) = (25.81360, 44.55400)   BPZ = 0.482 [0.121--3.730]   type = 11.00 (SB11_A_0_l)   chisq2 = 0.41   ODDS = 0.07   z_cluster = 0.341