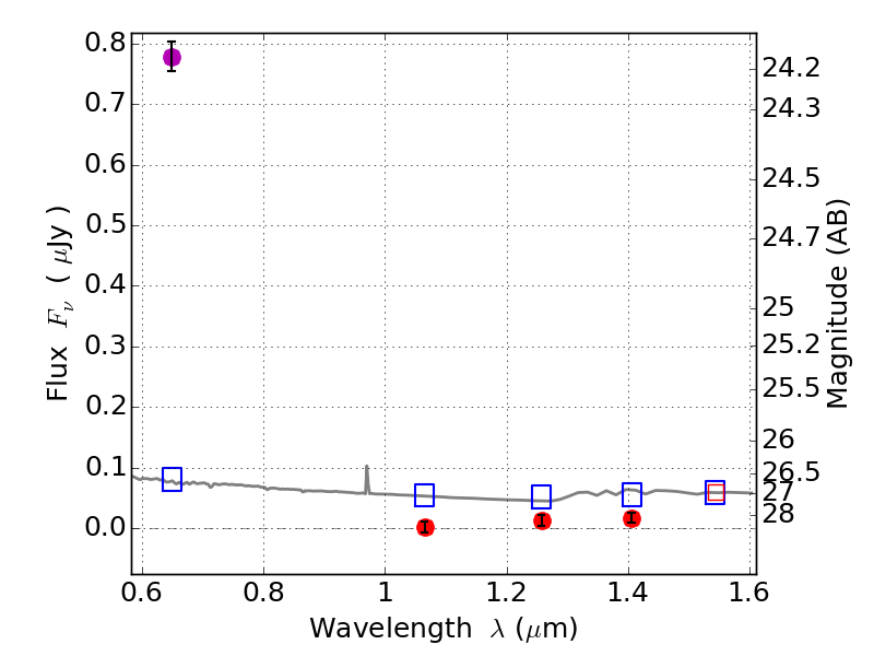
RXC0142+44-PAR IR detection object #1146

Color images and BPZ results
Catalog: 1146.cat
Black segments are analyzed here.   Roll mouse over color images to view segments.
Best viewed in a wide browser window (1200 pixels or more).   Download SED & P(z) plots to view larger versions.
In P(z) plots: Yellow lines mark the cluster redshift z = 0.341,  

Object #1146   x,y = (2842, 2190)   RA, Dec = (01:43:16.104, 44:33:19.08) = (25.81710, 44.55530)   BPZ = 2.472 [0.018--2.668]   type = 11.00 (SB11_A_0_l)   chisq2 = 802.60   ODDS = 0.65   z_cluster = 0.341