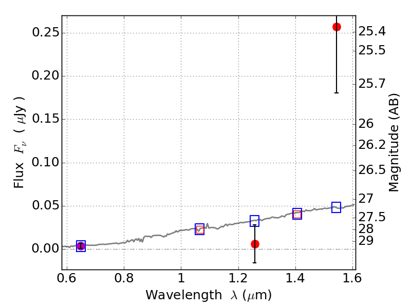
RXC0142+44-PAR IR detection object #667

Color images and BPZ results
Catalog: 667.cat
Black segments are analyzed here.   Roll mouse over color images to view segments.
Best viewed in a wide browser window (1200 pixels or more).   Download SED & P(z) plots to view larger versions.
In P(z) plots: Yellow lines mark the cluster redshift z = 0.341,  

Object #667   x,y = (4054, 2484)   RA, Dec = (01:43:09.288, 44:33:36.72) = (25.78870, 44.56020)   BPZ = 1.176 [0.403--12.496]   type = 6.00 (Sbc_B10)   stellarity = 0.99   chisq2 = 8.86   ODDS = 0.05   z_cluster = 0.341