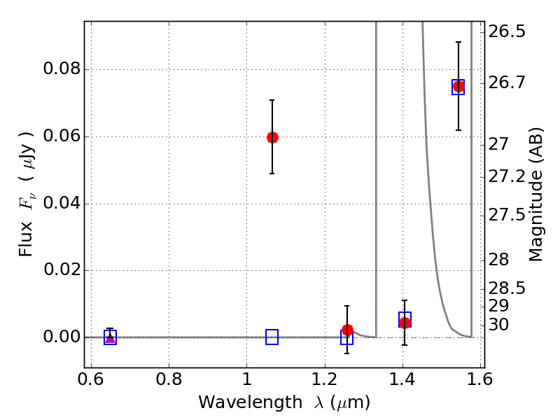
RXC0142+44-PAR IR detection object #456

Color images and BPZ results
Catalog: 456.cat
Black segments are analyzed here.   Roll mouse over color images to view segments.
Best viewed in a wide browser window (1200 pixels or more).   Download SED & P(z) plots to view larger versions.
In P(z) plots: Yellow lines mark the cluster redshift z = 0.341,  

Object #456   x,y = (3327, 2794)   RA, Dec = (01:43:13.368, 44:33:55.44) = (25.80570, 44.56540)   BPZ = 11.990 [0.527--12.898]   type = 9.00 (SB2_B10)   stellarity = 0.73   chisq2 = 12.35   ODDS = 0.38   z_cluster = 0.341