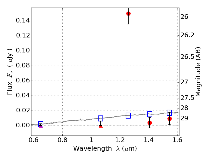
RXC0142+44-PAR IR detection object #43

Color images and BPZ results
Catalog: 43.cat
Black segments are analyzed here.   Roll mouse over color images to view segments.
Best viewed in a wide browser window (1200 pixels or more).   Download SED & P(z) plots to view larger versions.
In P(z) plots: Yellow lines mark the cluster redshift z = 0.341,  

Object #43   x,y = (2200, 3714)   RA, Dec = (01:43:19.704, 44:34:50.52) = (25.83210, 44.58070)   BPZ = 0.851 [0.357--8.187]   type = 6.00 (Sbc_B10)   stellarity = 0.73   chisq2 = 48.51   ODDS = 0.11   z_cluster = 0.341