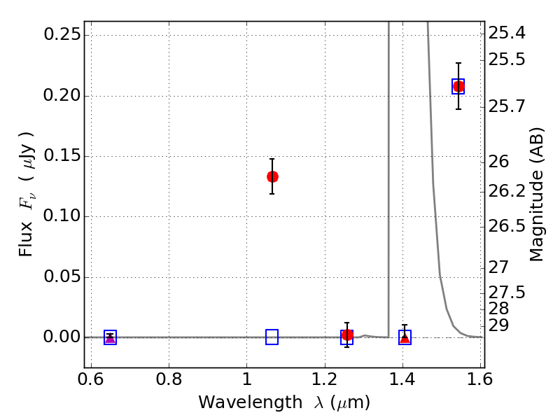
RXC0142+44-PAR IR detection object #183

Color images and BPZ results
Catalog: 183.cat
Black segments are analyzed here.   Roll mouse over color images to view segments.
Best viewed in a wide browser window (1200 pixels or more).   Download SED & P(z) plots to view larger versions.
In P(z) plots: Yellow lines mark the cluster redshift z = 0.341,  

Object #183   x,y = (3213, 3274)   RA, Dec = (01:43:14.016, 44:34:24.24) = (25.80840, 44.57340)   BPZ = 12.309 [11.985--12.965]   type = 11.00 (SB11_A_0_l)   stellarity = 0.97   chisq2 = 21.81   ODDS = 0.88   z_cluster = 0.341