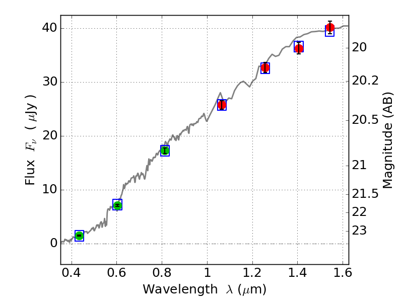
RXC0032+18 IR detection object #653

Color images and BPZ results
Catalog: 653.cat
Black segments are analyzed here.   Roll mouse over color images to view segments.
Best viewed in a wide browser window (1200 pixels or more).   Download SED & P(z) plots to view larger versions.
In P(z) plots: Yellow lines mark the cluster redshift z = 0.396,  

Object #653   x,y = (1912, 2328)   RA, Dec = (00:32:13.728, 18:07:42.60) = (8.05720, 18.12850)   BPZ = 0.396 [0.306--0.433]   type = 4.10 (Ell4_A_0 - ES0_B10)   stellarity = 0.03   chisq2 = 0.02   ODDS = 0.84   z_cluster = 0.396