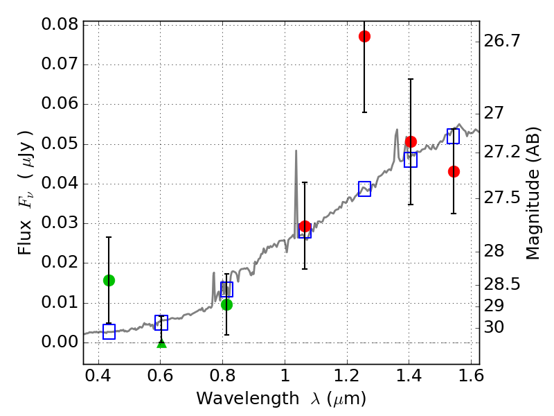
RXC0032+18 IR detection object #567

Color images and BPZ results
Catalog: 567.cat
Black segments are analyzed here.   Roll mouse over color images to view segments.
Best viewed in a wide browser window (1200 pixels or more).   Download SED & P(z) plots to view larger versions.
In P(z) plots: Yellow lines mark the cluster redshift z = 0.396,  

Object #567   x,y = (2151, 2529)   RA, Dec = (00:32:12.720, 18:07:54.48) = (8.05300, 18.13180)   BPZ = 1.074 [0.602--7.782]   type = 6.40 (Sbc_B10 - Scd_B10)   stellarity = 0.01   chisq2 = 1.63   ODDS = 0.10   z_cluster = 0.396