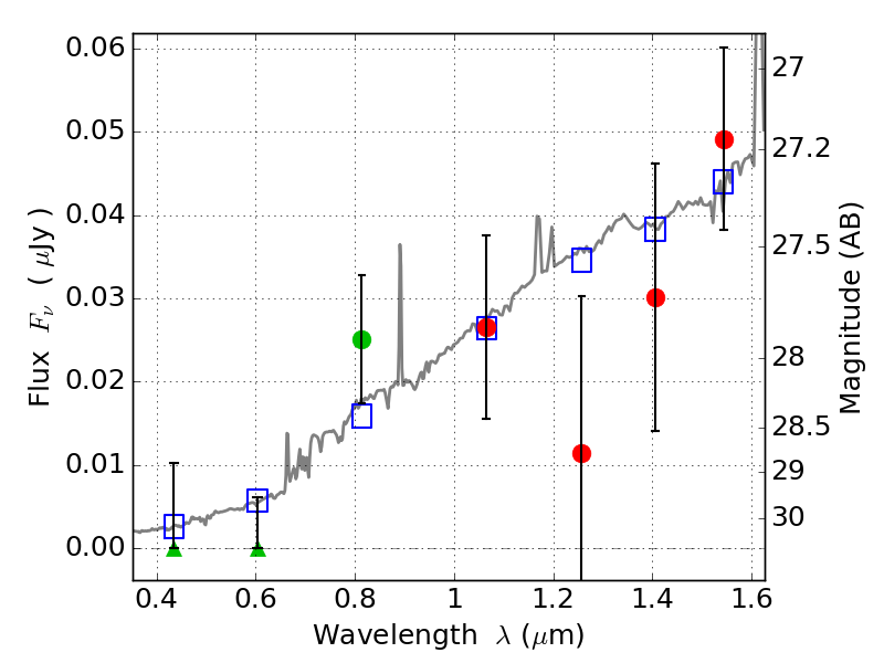
RXC0032+18 IR detection object #513

Color images and BPZ results
Catalog: 513.cat
Black segments are analyzed here.   Roll mouse over color images to view segments.
Best viewed in a wide browser window (1200 pixels or more).   Download SED & P(z) plots to view larger versions.
In P(z) plots: Yellow lines mark the cluster redshift z = 0.396,  

Object #513   x,y = (3328, 2585)   RA, Dec = (00:32:07.776, 18:07:57.72) = (8.03240, 18.13270)   BPZ = 0.780 [0.388--5.628]   type = 6.50 (Scd_B10 - Sbc_B10)   stellarity = 0.10   chisq2 = 0.98   ODDS = 0.10   z_cluster = 0.396