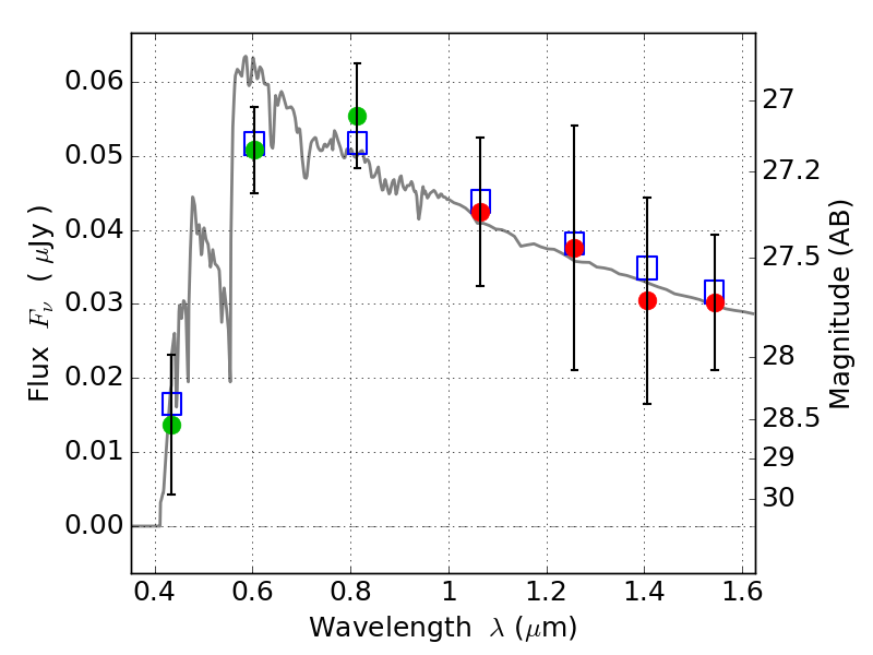
RXC0032+18 IR detection object #1085

Color images and BPZ results
Catalog: 1085.cat
Black segments are analyzed here.   Roll mouse over color images to view segments.
Best viewed in a wide browser window (1200 pixels or more).   Download SED & P(z) plots to view larger versions.
In P(z) plots: Yellow lines mark the cluster redshift z = 0.396,  

Object #1085   x,y = (2074, 1549)   RA, Dec = (00:32:13.056, 18:06:55.80) = (8.05440, 18.11550)   BPZ = 3.575 [0.255--3.950]   type = 11.00 (SB11_A_0_l)   stellarity = 0.52   chisq2 = 0.11   ODDS = 0.61   z_cluster = 0.396