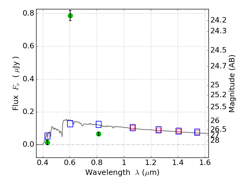
RXC0032+18 ACS+IR detection object #3414

Color images and BPZ results
Catalog: 3414.cat
Black segments are analyzed here.   Roll mouse over color images to view segments.
Best viewed in a wide browser window (1200 pixels or more).   Download SED & P(z) plots to view larger versions.
In P(z) plots: Yellow lines mark the cluster redshift z = 0.396,  

Object #3414   x,y = (319, 2247)   RA, Dec = (00:32:20.448, 18:07:37.56) = (8.08520, 18.12710)   BPZ = 3.479 [0.017--3.645]   type = 11.00 (SB11_A_0_l)   chisq2 = 444.70   ODDS = 0.86   z_cluster = 0.396