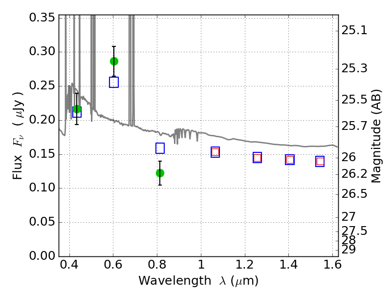
RXC0032+18 ACS+IR detection object #2168

Color images and BPZ results
Catalog: 2168.cat
Black segments are analyzed here.   Roll mouse over color images to view segments.
Best viewed in a wide browser window (1200 pixels or more).   Download SED & P(z) plots to view larger versions.
In P(z) plots: Yellow lines mark the cluster redshift z = 0.396,  

Object #2168   x,y = (4537, 2852)   RA, Dec = (00:32:02.688, 18:08:13.92) = (8.01120, 18.13720)   BPZ = 0.026 [0.011--2.661]   type = 11.00 (SB11_A_0_l)   chisq2 = 3.50   ODDS = 0.74   z_cluster = 0.396