RXC0032+18 ACS+IR detection object #2054

Color images and BPZ results
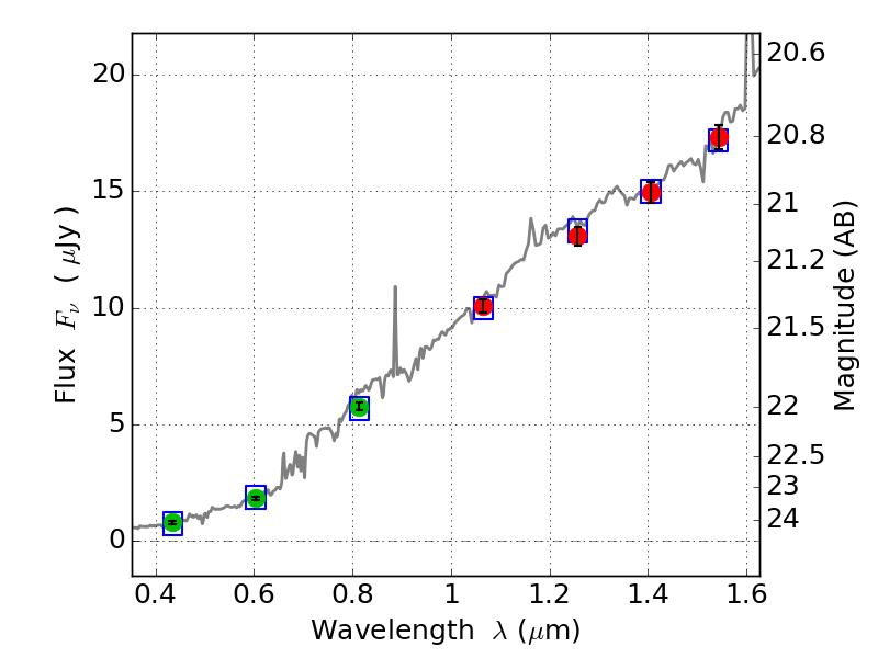
Catalog: 2054.cat
Black segments are analyzed here.   Roll mouse over color images to view segments.
Best viewed in a wide browser window (1200 pixels or more).   Download SED & P(z) plots to view larger versions.
In P(z) plots: Yellow lines mark the cluster redshift z = 0.396,  

Object #2054   x,y = (3294, 2893)   RA, Dec = (00:32:07.920, 18:08:16.44) = (8.03300, 18.13790)   BPZ = 0.775 [0.703--0.882]   type = 6.20 (Sbc_B10 - Scd_B10)   chisq2 = 0.01   ODDS = 0.87   z_cluster = 0.396