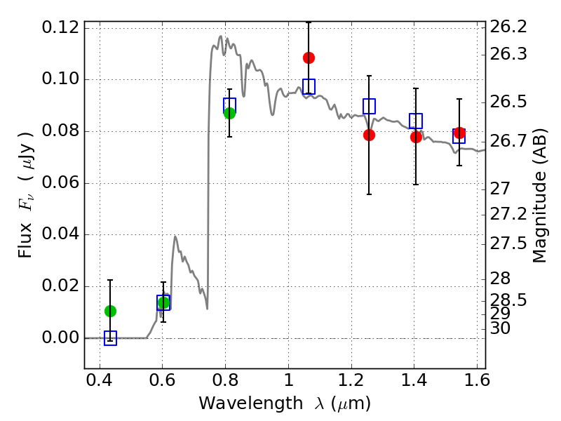
RXC0032+18 ACS+IR detection object #1355

Color images and BPZ results
Catalog: 1355.cat
Black segments are analyzed here.   Roll mouse over color images to view segments.
Best viewed in a wide browser window (1200 pixels or more).   Download SED & P(z) plots to view larger versions.
In P(z) plots: Yellow lines mark the cluster redshift z = 0.396,  

Object #1355   x,y = (2823, 3358)   RA, Dec = (00:32:09.912, 18:08:44.16) = (8.04130, 18.14560)   BPZ = 5.129 [4.542--5.424]   type = 10.70 (SB11_A_0_l - SB3_B10)   chisq2 = 0.39   ODDS = 0.70   z_cluster = 0.396