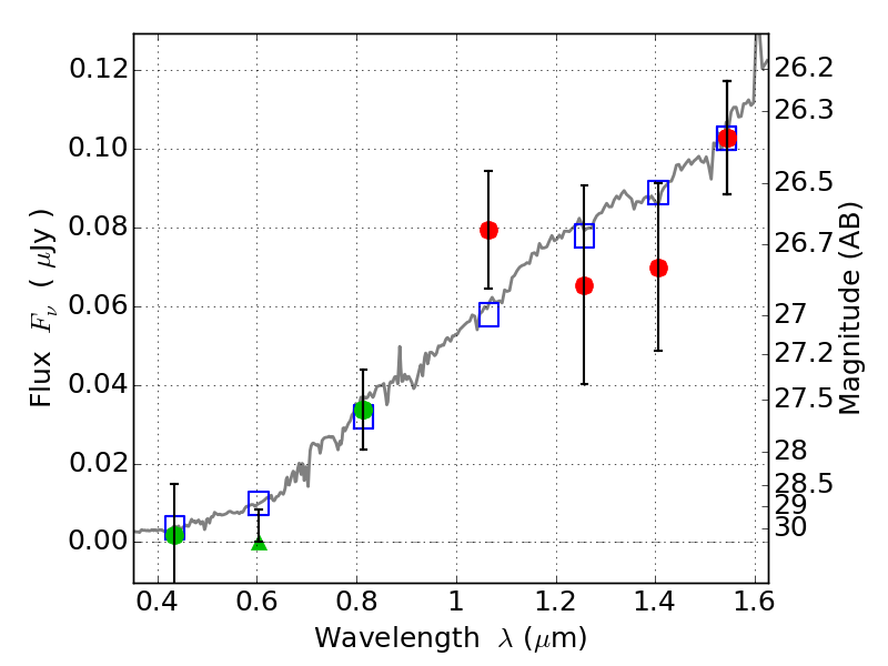
RXC0032+18 IR detection object #824

Color images and BPZ results
Catalog: 824.cat
Black segments are analyzed here.   Roll mouse over color images to view segments.
Best viewed in a wide browser window (1200 pixels or more).   Download SED & P(z) plots to view larger versions.
In P(z) plots: Yellow lines mark the cluster redshift z = 0.396,  

Object #824   x,y = (3363, 2030)   RA, Dec = (00:32:07.632, 18:07:24.60) = (8.03180, 18.12350)   BPZ = 0.774 [0.496--5.969]   type = 6.00 (Sbc_B10)   chisq2 = 0.51   ODDS = 0.16   z_cluster = 0.396