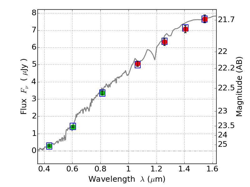
RXC0032+18 IR detection object #815

Color images and BPZ results
Catalog: 815.cat
Black segments are analyzed here.   Roll mouse over color images to view segments.
Best viewed in a wide browser window (1200 pixels or more).   Download SED & P(z) plots to view larger versions.
In P(z) plots: Yellow lines mark the cluster redshift z = 0.396,  

Object #815   x,y = (2587, 2064)   RA, Dec = (00:32:10.896, 18:07:26.76) = (8.04540, 18.12410)   BPZ = 0.390 [0.304--0.429]   type = 4.10 (Ell4_A_0 - ES0_B10)   chisq2 = 0.01   ODDS = 0.87   z_cluster = 0.396