RXC0032+18 ACS+IR detection object #5938

Color images and BPZ results
Catalog: 5938.cat
Black segments are analyzed here.   Roll mouse over color images to view segments.
Best viewed in a wide browser window (1200 pixels or more).   Download SED & P(z) plots to view larger versions.
In P(z) plots: Yellow lines mark the cluster redshift z = 0.396,  

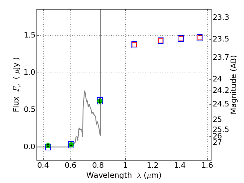
Object #5938   x,y = (3137, 287)   RA, Dec = (00:32:08.568, 18:05:40.20) = (8.03570, 18.09450)   BPZ = 5.717 [5.356--6.059]   type = 9.50 (SB3_B10 - SB2_B10)   chisq2 = 0.04   ODDS = 0.88   z_cluster = 0.396