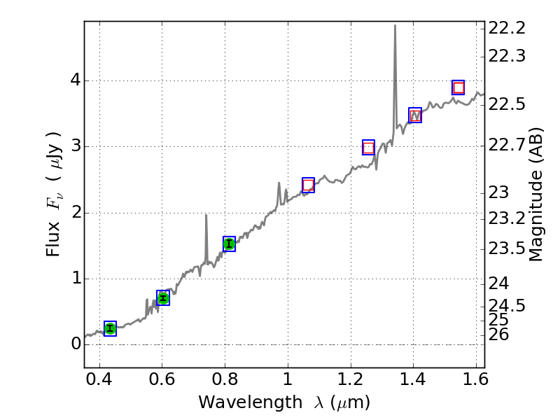
RXC0032+18 ACS+IR detection object #4581

Color images and BPZ results
Catalog: 4581.cat
Black segments are analyzed here.   Roll mouse over color images to view segments.
Best viewed in a wide browser window (1200 pixels or more).   Download SED & P(z) plots to view larger versions.
In P(z) plots: Yellow lines mark the cluster redshift z = 0.396,  

Object #4581   x,y = (1658, 1559)   RA, Dec = (00:32:14.808, 18:06:56.52) = (8.06170, 18.11570)   BPZ = 0.481 [0.267--0.694]   type = 6.30 (Sbc_B10 - Scd_B10)   chisq2 = 0.00   ODDS = 0.43   z_cluster = 0.396