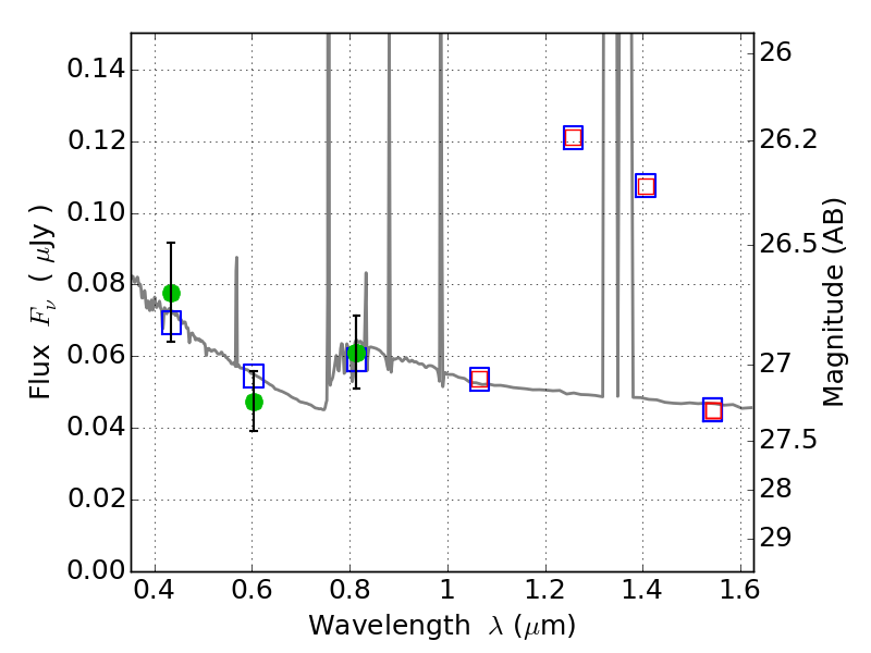
RXC0032+18 ACS+IR detection object #3405

Color images and BPZ results
Catalog: 3405.cat
Black segments are analyzed here.   Roll mouse over color images to view segments.
Best viewed in a wide browser window (1200 pixels or more).   Download SED & P(z) plots to view larger versions.
In P(z) plots: Yellow lines mark the cluster redshift z = 0.396,  

Object #3405   x,y = (1315, 2294)   RA, Dec = (00:32:16.248, 18:07:40.44) = (8.06770, 18.12790)   BPZ = 1.030 [0.469--2.563]   type = 11.00 (SB11_A_0_l)   chisq2 = 0.71   ODDS = 0.14   z_cluster = 0.396