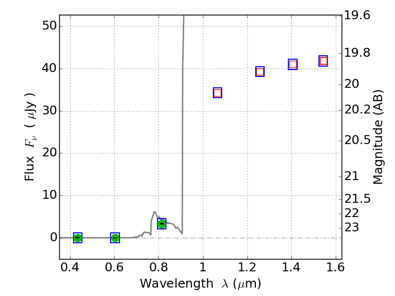
RXC0032+18 ACS+IR detection object #2871

Color images and BPZ results
Catalog: 2871.cat
Black segments are analyzed here.   Roll mouse over color images to view segments.
Best viewed in a wide browser window (1200 pixels or more).   Download SED & P(z) plots to view larger versions.
In P(z) plots: Yellow lines mark the cluster redshift z = 0.396,  

Object #2871   x,y = (4580, 2552)   RA, Dec = (00:32:02.496, 18:07:55.92) = (8.01040, 18.13220)   BPZ = 6.469 [6.211--8.547]   type = 9.00 (SB2_B10)   chisq2 = 0.00   ODDS = 0.52   z_cluster = 0.396