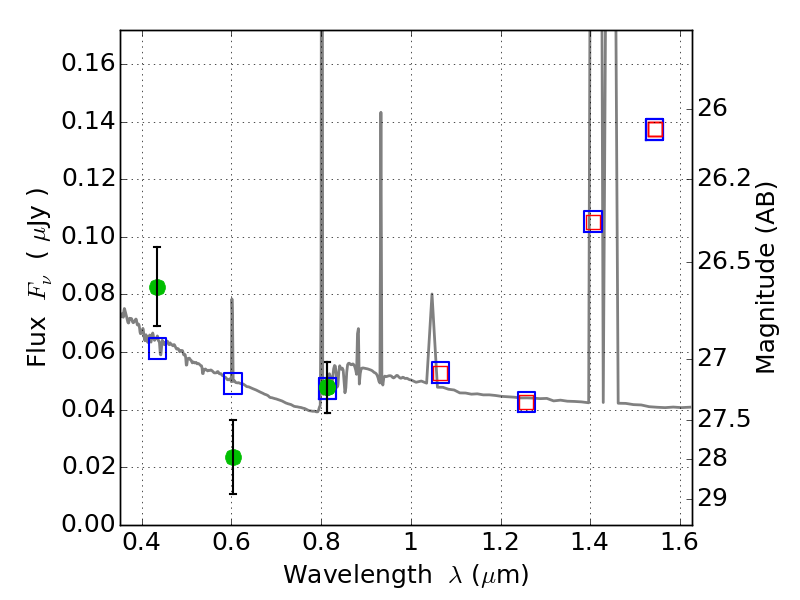
RXC0032+18 ACS+IR detection object #2741

Color images and BPZ results
Catalog: 2741.cat
Black segments are analyzed here.   Roll mouse over color images to view segments.
Best viewed in a wide browser window (1200 pixels or more).   Download SED & P(z) plots to view larger versions.
In P(z) plots: Yellow lines mark the cluster redshift z = 0.396,  

Object #2741   x,y = (635, 2635)   RA, Dec = (00:32:19.104, 18:08:00.96) = (8.07960, 18.13360)   BPZ = 1.152 [0.653--2.550]   type = 11.00 (SB11_A_0_l)   chisq2 = 4.32   ODDS = 0.13   z_cluster = 0.396