RXC0032+18 ACS+IR detection object #2411

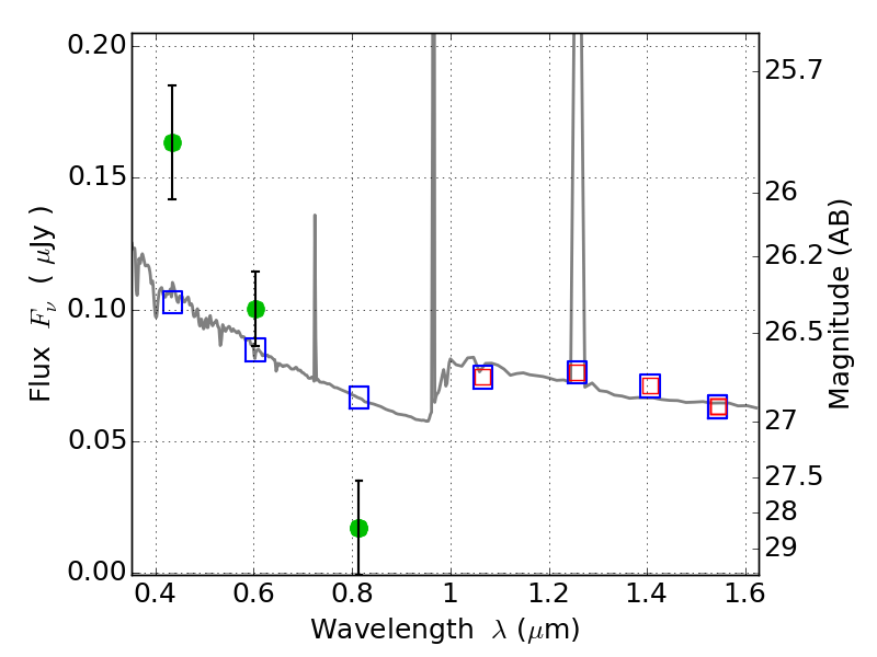
Color images and BPZ results
Catalog: 2411.cat
Black segments are analyzed here.   Roll mouse over color images to view segments.
Best viewed in a wide browser window (1200 pixels or more).   Download SED & P(z) plots to view larger versions.
In P(z) plots: Yellow lines mark the cluster redshift z = 0.396,  

Object #2411   x,y = (4660, 2765)   RA, Dec = (00:32:02.160, 18:08:08.88) = (8.00900, 18.13580)   BPZ = 1.594 [1.331--2.398]   type = 11.00 (SB11_A_0_l)   chisq2 = 21.31   ODDS = 0.28   z_cluster = 0.396