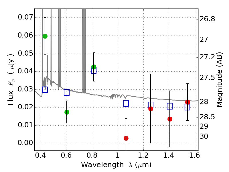
RXC0032+18 ACS+IR detection object #1797

Color images and BPZ results
Catalog: 1797.cat
Black segments are analyzed here.   Roll mouse over color images to view segments.
Best viewed in a wide browser window (1200 pixels or more).   Download SED & P(z) plots to view larger versions.
In P(z) plots: Yellow lines mark the cluster redshift z = 0.396,  

Object #1797   x,y = (3279, 3073)   RA, Dec = (00:32:07.968, 18:08:27.24) = (8.03320, 18.14090)   BPZ = 0.111 [0.089--2.586]   type = 11.00 (SB11_A_0_l)   chisq2 = 1.99   ODDS = 0.23   z_cluster = 0.396