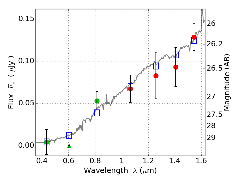
RXC0032+18 IR detection object #538

Color images and BPZ results
Catalog: 538.cat
Black segments are analyzed here.   Roll mouse over color images to view segments.
Best viewed in a wide browser window (1200 pixels or more).   Download SED & P(z) plots to view larger versions.
In P(z) plots: Yellow lines mark the cluster redshift z = 0.396,  

Object #538   x,y = (3389, 2545)   RA, Dec = (00:32:07.512, 18:07:55.56) = (8.03130, 18.13210)   BPZ = 0.772 [0.446--5.509]   type = 6.00 (Sbc_B10)   chisq2 = 0.65   ODDS = 0.21   z_cluster = 0.396