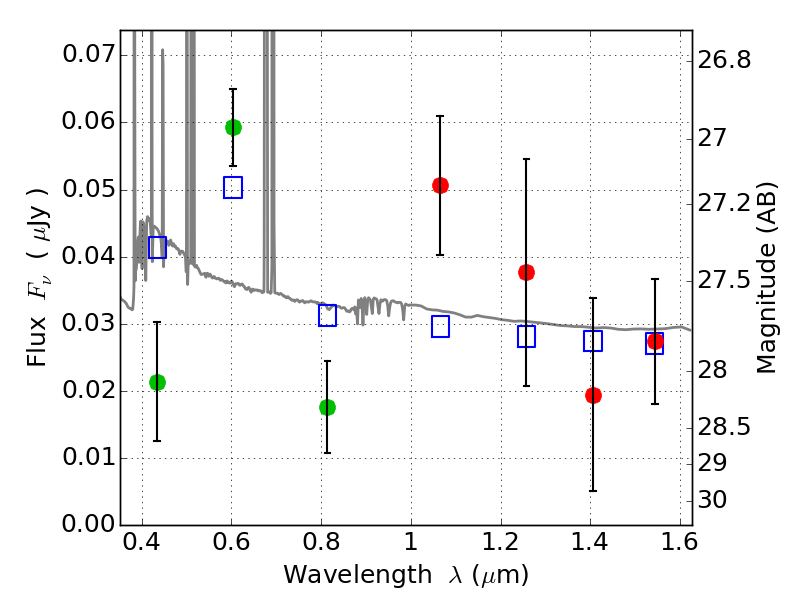
RXC0032+18 IR detection object #356

Color images and BPZ results
Catalog: 356.cat
Black segments are analyzed here.   Roll mouse over color images to view segments.
Best viewed in a wide browser window (1200 pixels or more).   Download SED & P(z) plots to view larger versions.
In P(z) plots: Yellow lines mark the cluster redshift z = 0.396,  

Object #356   x,y = (2162, 2926)   RA, Dec = (00:32:12.672, 18:08:18.24) = (8.05280, 18.13840)   BPZ = 0.032 [0.021--3.531]   type = 11.00 (SB11_A_0_l)   chisq2 = 3.45   ODDS = 0.13   z_cluster = 0.396