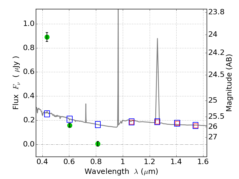
RXC0032+18 ACS+IR detection object #5993

Color images and BPZ results
Catalog: 5993.cat
Black segments are analyzed here.   Roll mouse over color images to view segments.
Best viewed in a wide browser window (1200 pixels or more).   Download SED & P(z) plots to view larger versions.
In P(z) plots: Yellow lines mark the cluster redshift z = 0.396,  

Object #5993   x,y = (3111, 217)   RA, Dec = (00:32:08.688, 18:05:35.88) = (8.03620, 18.09330)   BPZ = 1.592 [1.426--2.089]   type = 11.00 (SB11_A_0_l)   chisq2 = 288.20   ODDS = 0.63   z_cluster = 0.396