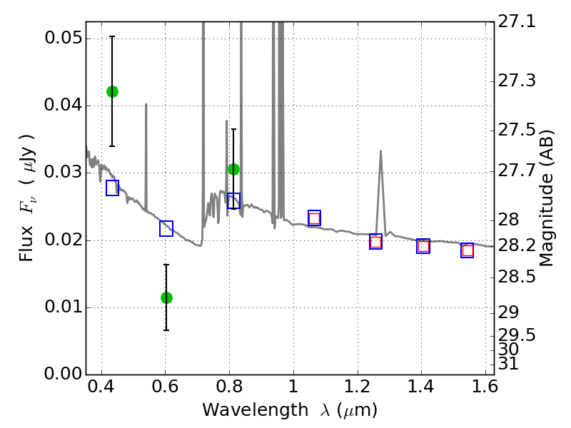
RXC0032+18 ACS+IR detection object #4766

Color images and BPZ results
Catalog: 4766.cat
Black segments are analyzed here.   Roll mouse over color images to view segments.
Best viewed in a wide browser window (1200 pixels or more).   Download SED & P(z) plots to view larger versions.
In P(z) plots: Yellow lines mark the cluster redshift z = 0.396,  

Object #4766   x,y = (1565, 1445)   RA, Dec = (00:32:15.192, 18:06:49.68) = (8.06330, 18.11380)   BPZ = 0.927 [0.471--10.295]   type = 11.00 (SB11_A_0_l)   chisq2 = 7.44   ODDS = 0.16   z_cluster = 0.396