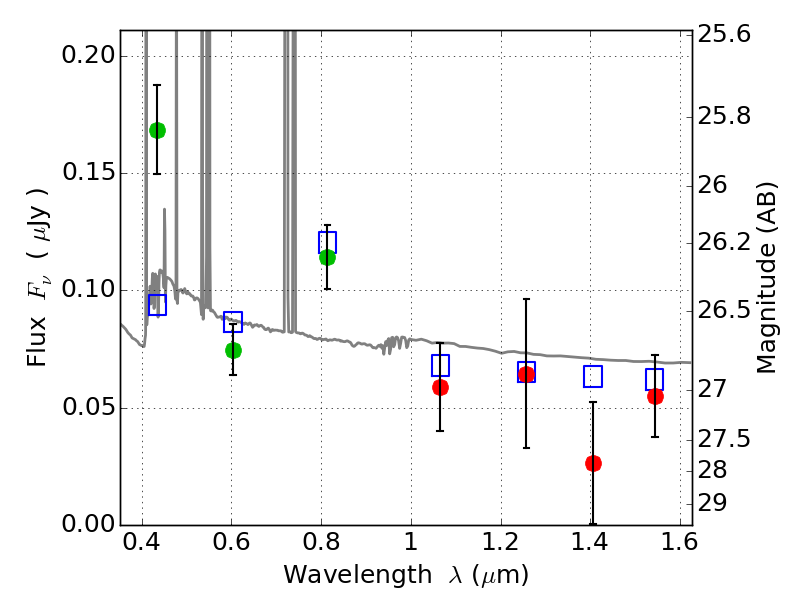
RXC0032+18 ACS+IR detection object #4269

Color images and BPZ results
Catalog: 4269.cat
Black segments are analyzed here.   Roll mouse over color images to view segments.
Best viewed in a wide browser window (1200 pixels or more).   Download SED & P(z) plots to view larger versions.
In P(z) plots: Yellow lines mark the cluster redshift z = 0.396,  

Object #4269   x,y = (1814, 1792)   RA, Dec = (00:32:14.136, 18:07:10.56) = (8.05890, 18.11960)   BPZ = 0.096 [0.084--2.487]   type = 11.00 (SB11_A_0_l)   chisq2 = 4.04   ODDS = 0.20   z_cluster = 0.396