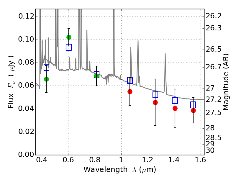
RXC0032+18 ACS+IR detection object #3020

Color images and BPZ results
Catalog: 3020.cat
Black segments are analyzed here.   Roll mouse over color images to view segments.
Best viewed in a wide browser window (1200 pixels or more).   Download SED & P(z) plots to view larger versions.
In P(z) plots: Yellow lines mark the cluster redshift z = 0.396,  

Object #3020   x,y = (2069, 2486)   RA, Dec = (00:32:13.080, 18:07:51.96) = (8.05450, 18.13110)   BPZ = 0.043 [0.013--3.217]   type = 10.50 (SB11_A_0_l - SB3_B10)   chisq2 = 0.57   ODDS = 0.61   z_cluster = 0.396