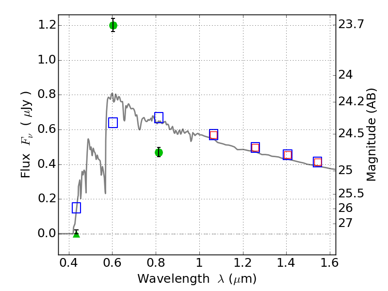
RXC0032+18 ACS+IR detection object #2650

Color images and BPZ results
Catalog: 2650.cat
Black segments are analyzed here.   Roll mouse over color images to view segments.
Best viewed in a wide browser window (1200 pixels or more).   Download SED & P(z) plots to view larger versions.
In P(z) plots: Yellow lines mark the cluster redshift z = 0.396,  

Object #2650   x,y = (4674, 2680)   RA, Dec = (00:32:02.112, 18:08:03.48) = (8.00880, 18.13430)   BPZ = 3.680 [3.637--3.768]   type = 11.00 (SB11_A_0_l)   chisq2 = 115.20   ODDS = 1.00   z_cluster = 0.396