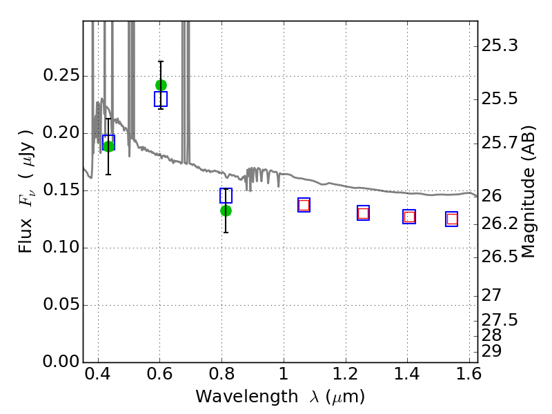
RXC0032+18 ACS+IR detection object #2279

Color images and BPZ results
Catalog: 2279.cat
Black segments are analyzed here.   Roll mouse over color images to view segments.
Best viewed in a wide browser window (1200 pixels or more).   Download SED & P(z) plots to view larger versions.
In P(z) plots: Yellow lines mark the cluster redshift z = 0.396,  

Object #2279   x,y = (4612, 2798)   RA, Dec = (00:32:02.376, 18:08:10.68) = (8.00990, 18.13630)   BPZ = 0.034 [0.019--2.914]   type = 11.00 (SB11_A_0_l)   chisq2 = 0.53   ODDS = 0.16   z_cluster = 0.396