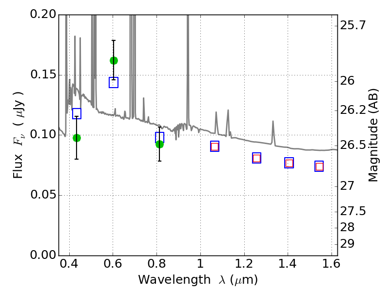
RXC0032+18 ACS+IR detection object #2278

Color images and BPZ results
Catalog: 2278.cat
Black segments are analyzed here.   Roll mouse over color images to view segments.
Best viewed in a wide browser window (1200 pixels or more).   Download SED & P(z) plots to view larger versions.
In P(z) plots: Yellow lines mark the cluster redshift z = 0.396,  

Object #2278   x,y = (4603, 2804)   RA, Dec = (00:32:02.400, 18:08:11.04) = (8.01000, 18.13640)   BPZ = 0.040 [0.028--3.198]   type = 10.80 (SB11_A_0_l - SB3_B10)   chisq2 = 2.06   ODDS = 0.09   z_cluster = 0.396