RXC0032+18 ACS+IR detection object #1969

Color images and BPZ results
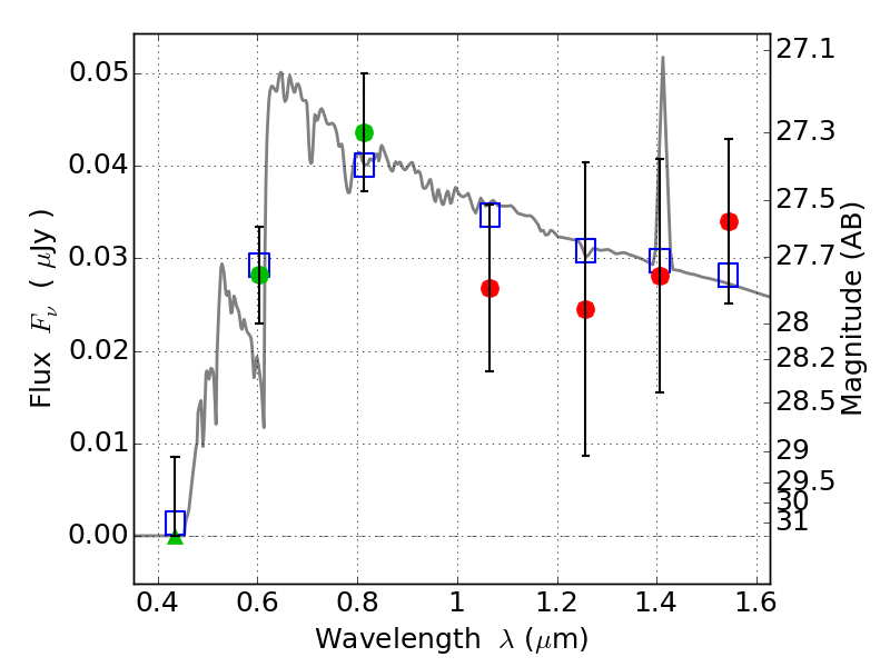
Catalog: 1969.cat
Black segments are analyzed here.   Roll mouse over color images to view segments.
Best viewed in a wide browser window (1200 pixels or more).   Download SED & P(z) plots to view larger versions.
In P(z) plots: Yellow lines mark the cluster redshift z = 0.396,  

Object #1969   x,y = (2686, 3339)   RA, Dec = (00:32:10.464, 18:08:43.08) = (8.04360, 18.14530)   BPZ = 4.046 [0.286--4.393]   type = 10.80 (SB11_A_0_l - SB3_B10)   chisq2 = 0.39   ODDS = 0.49   z_cluster = 0.396