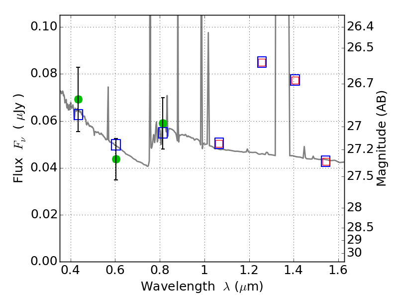
RXC0032+18 ACS+IR detection object #1557

Color images and BPZ results
Catalog: 1557.cat
Black segments are analyzed here.   Roll mouse over color images to view segments.
Best viewed in a wide browser window (1200 pixels or more).   Download SED & P(z) plots to view larger versions.
In P(z) plots: Yellow lines mark the cluster redshift z = 0.396,  

Object #1557   x,y = (4027, 3208)   RA, Dec = (00:32:04.824, 18:08:35.16) = (8.02010, 18.14310)   BPZ = 1.026 [0.368--2.631]   type = 10.90 (SB11_A_0_l - SB3_B10)   chisq2 = 0.65   ODDS = 0.11   z_cluster = 0.396