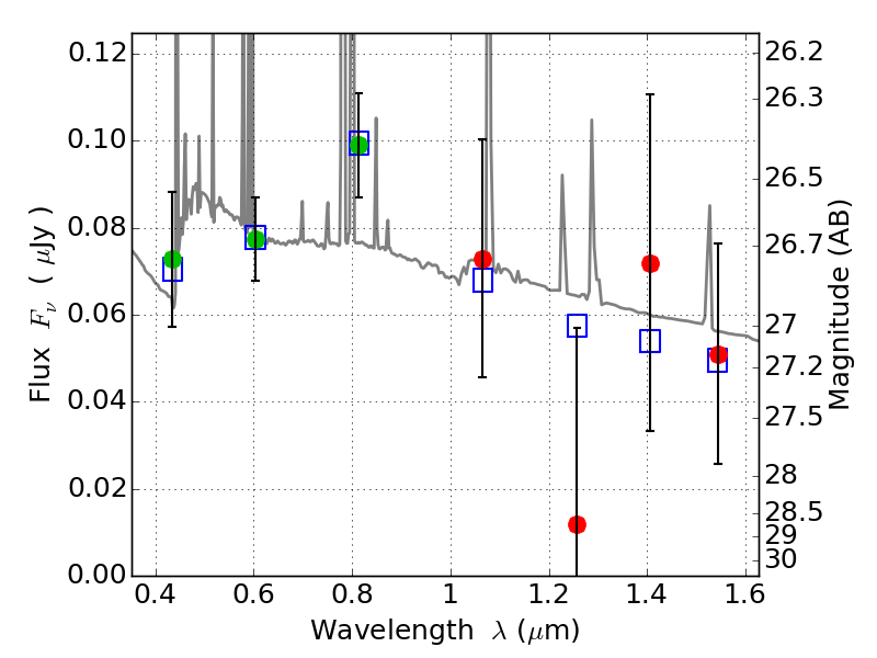
RXC0032+18 ACS+IR detection object #1016

Color images and BPZ results
Catalog: 1016.cat
Black segments are analyzed here.   Roll mouse over color images to view segments.
Best viewed in a wide browser window (1200 pixels or more).   Download SED & P(z) plots to view larger versions.
In P(z) plots: Yellow lines mark the cluster redshift z = 0.396,  

Object #1016   x,y = (2787, 3629)   RA, Dec = (00:32:10.056, 18:09:00.72) = (8.04190, 18.15020)   BPZ = 0.193 [0.089--3.097]   type = 10.60 (SB11_A_0_l - SB3_B10)   chisq2 = 0.32   ODDS = 0.23   z_cluster = 0.396