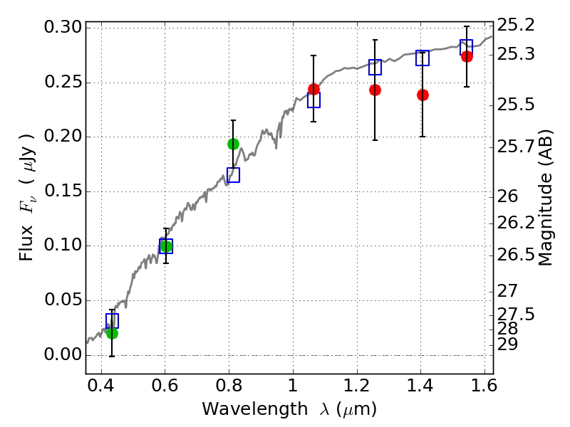
RXC0032+18 IR detection object #937

Color images and BPZ results
Catalog: 937.cat
Black segments are analyzed here.   Roll mouse over color images to view segments.
Best viewed in a wide browser window (1200 pixels or more).   Download SED & P(z) plots to view larger versions.
In P(z) plots: Yellow lines mark the cluster redshift z = 0.396,  

Object #937   x,y = (1889, 1541)   RA, Dec = (00:32:13.776, 18:06:54.36) = (8.05740, 18.11510)   BPZ = 0.115 [0.065--4.283]   type = 4.00 (Ell4_A_0)   chisq2 = 0.52   ODDS = 0.09   z_cluster = 0.396