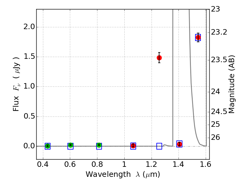
RXC0032+18 IR detection object #934

Color images and BPZ results
Catalog: 934.cat
Black segments are analyzed here.   Roll mouse over color images to view segments.
Best viewed in a wide browser window (1200 pixels or more).   Download SED & P(z) plots to view larger versions.
In P(z) plots: Yellow lines mark the cluster redshift z = 0.396,  

Object #934   x,y = (2615, 1552)   RA, Dec = (00:32:10.728, 18:06:55.08) = (8.04470, 18.11530)   BPZ = 12.257 [12.145--12.965]   type = 6.10 (Sbc_B10 - Scd_B10)   chisq2 = 24.93   ODDS = 0.83   z_cluster = 0.396