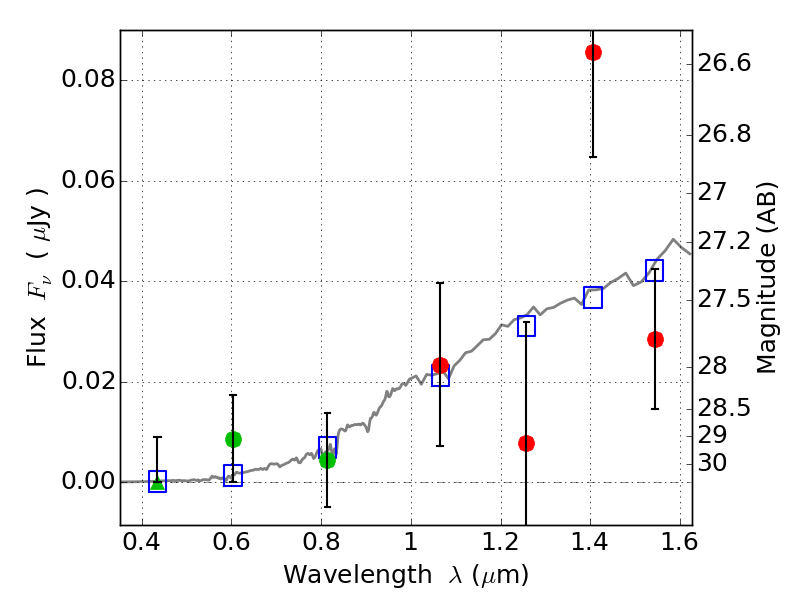
RXC0032+18 IR detection object #905

Color images and BPZ results
Catalog: 905.cat
Black segments are analyzed here.   Roll mouse over color images to view segments.
Best viewed in a wide browser window (1200 pixels or more).   Download SED & P(z) plots to view larger versions.
In P(z) plots: Yellow lines mark the cluster redshift z = 0.396,  

Object #905   x,y = (2819, 1587)   RA, Dec = (00:32:09.864, 18:06:57.24) = (8.04110, 18.11590)   BPZ = 1.102 [0.353--7.620]   type = 3.00 (Ell5_A_0)   chisq2 = 1.97   ODDS = 0.08   z_cluster = 0.396