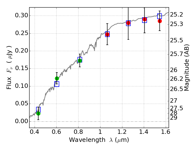
RXC0032+18 IR detection object #851

Color images and BPZ results
Catalog: 851.cat
Black segments are analyzed here.   Roll mouse over color images to view segments.
Best viewed in a wide browser window (1200 pixels or more).   Download SED & P(z) plots to view larger versions.
In P(z) plots: Yellow lines mark the cluster redshift z = 0.396,  

Object #851   x,y = (1653, 1706)   RA, Dec = (00:32:14.760, 18:07:04.44) = (8.06150, 18.11790)   BPZ = 0.112 [0.045--3.890]   type = 4.00 (Ell4_A_0)   chisq2 = 0.18   ODDS = 0.21   z_cluster = 0.396