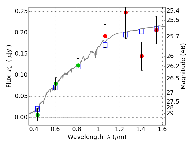
RXC0032+18 IR detection object #791

Color images and BPZ results
Catalog: 791.cat
Black segments are analyzed here.   Roll mouse over color images to view segments.
Best viewed in a wide browser window (1200 pixels or more).   Download SED & P(z) plots to view larger versions.
In P(z) plots: Yellow lines mark the cluster redshift z = 0.396,  

Object #791   x,y = (2834, 1851)   RA, Dec = (00:32:09.792, 18:07:13.08) = (8.04080, 18.12030)   BPZ = 0.144 [0.061--4.218]   type = 4.00 (Ell4_A_0)   chisq2 = 1.12   ODDS = 0.17   z_cluster = 0.396