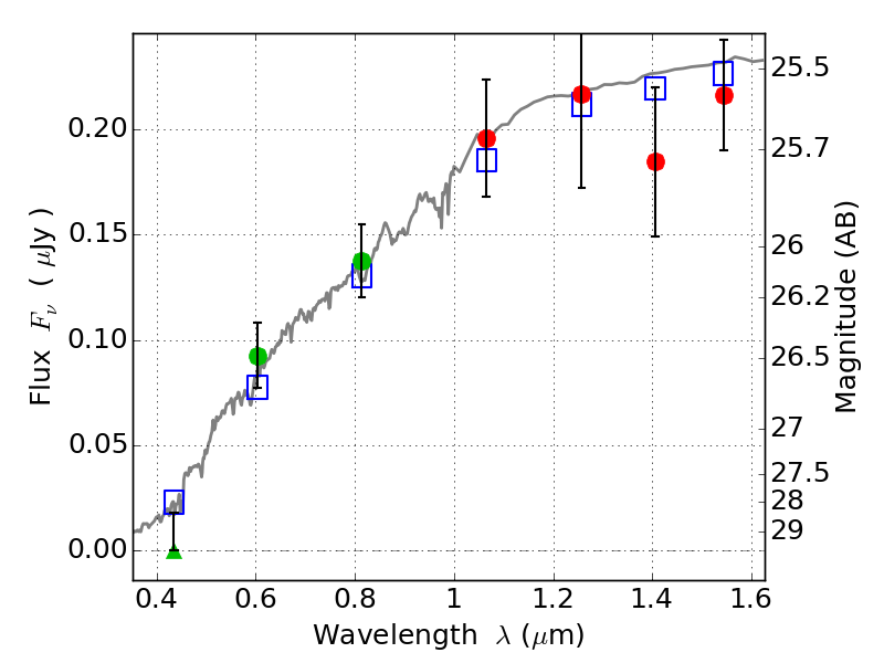
RXC0032+18 IR detection object #691

Color images and BPZ results
Catalog: 691.cat
Black segments are analyzed here.   Roll mouse over color images to view segments.
Best viewed in a wide browser window (1200 pixels or more).   Download SED & P(z) plots to view larger versions.
In P(z) plots: Yellow lines mark the cluster redshift z = 0.396,  

Object #691   x,y = (1693, 2081)   RA, Dec = (00:32:14.592, 18:07:26.76) = (8.06080, 18.12410)   BPZ = 0.136 [0.069--4.211]   type = 4.00 (Ell4_A_0)   chisq2 = 0.66   ODDS = 0.11   z_cluster = 0.396