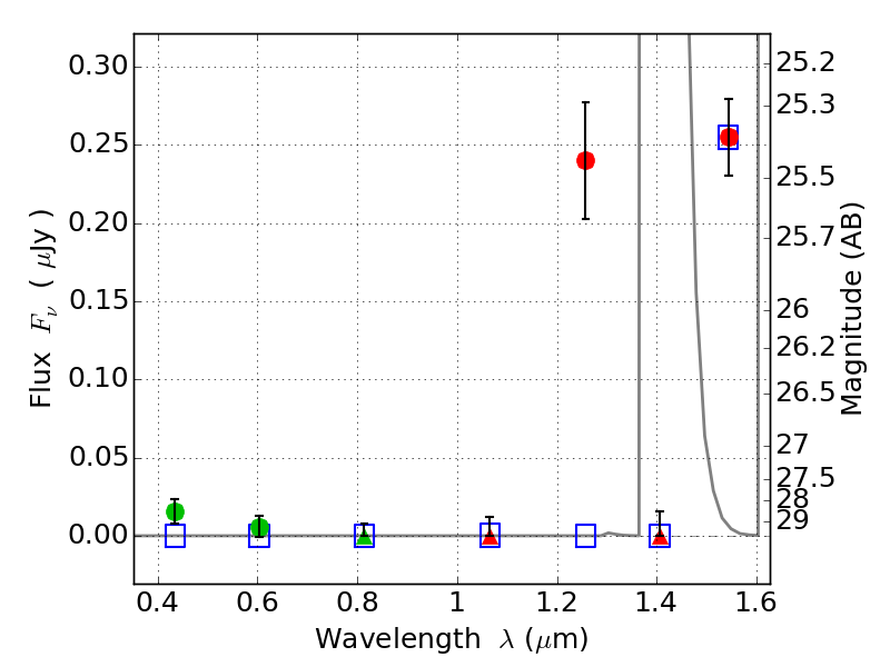
RXC0032+18 IR detection object #59

Color images and BPZ results
Catalog: 59.cat
Black segments are analyzed here.   Roll mouse over color images to view segments.
Best viewed in a wide browser window (1200 pixels or more).   Download SED & P(z) plots to view larger versions.
In P(z) plots: Yellow lines mark the cluster redshift z = 0.396,  

Object #59   x,y = (2454, 3485)   RA, Dec = (00:32:11.400, 18:08:51.00) = (8.04750, 18.14750)   BPZ = 12.324 [11.941--12.968]   type = 11.00 (SB11_A_0_l)   chisq2 = 8.77   ODDS = 0.88   z_cluster = 0.396