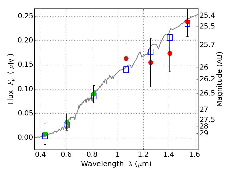
RXC0032+18 IR detection object #374

Color images and BPZ results
Catalog: 374.cat
Black segments are analyzed here.   Roll mouse over color images to view segments.
Best viewed in a wide browser window (1200 pixels or more).   Download SED & P(z) plots to view larger versions.
In P(z) plots: Yellow lines mark the cluster redshift z = 0.396,  

Object #374   x,y = (2803, 2762)   RA, Dec = (00:32:09.936, 18:08:07.80) = (8.04140, 18.13550)   BPZ = 0.555 [0.220--4.643]   type = 3.00 (Ell5_A_0)   chisq2 = 0.34   ODDS = 0.22   z_cluster = 0.396