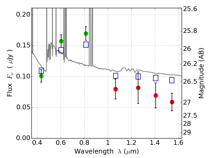
RXC0032+18 IR detection object #301

Color images and BPZ results
Catalog: 301.cat
Black segments are analyzed here.   Roll mouse over color images to view segments.
Best viewed in a wide browser window (1200 pixels or more).   Download SED & P(z) plots to view larger versions.
In P(z) plots: Yellow lines mark the cluster redshift z = 0.396,  

Object #301   x,y = (2115, 2947)   RA, Dec = (00:32:12.816, 18:08:18.96) = (8.05340, 18.13860)   BPZ = 0.295 [0.081--0.339]   type = 11.00 (SB11_A_0_l)   chisq2 = 2.55   ODDS = 0.40   z_cluster = 0.396