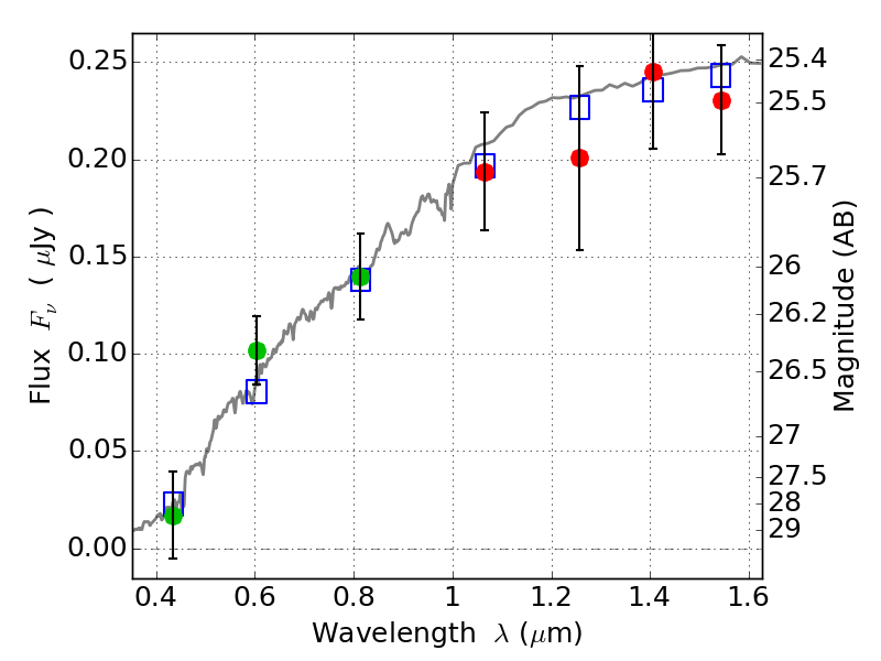
RXC0032+18 IR detection object #295

Color images and BPZ results
Catalog: 295.cat
Black segments are analyzed here.   Roll mouse over color images to view segments.
Best viewed in a wide browser window (1200 pixels or more).   Download SED & P(z) plots to view larger versions.
In P(z) plots: Yellow lines mark the cluster redshift z = 0.396,  

Object #295   x,y = (2861, 2959)   RA, Dec = (00:32:09.696, 18:08:19.68) = (8.04040, 18.13880)   BPZ = 0.153 [0.060--3.993]   type = 4.00 (Ell4_A_0)   chisq2 = 0.32   ODDS = 0.12   z_cluster = 0.396