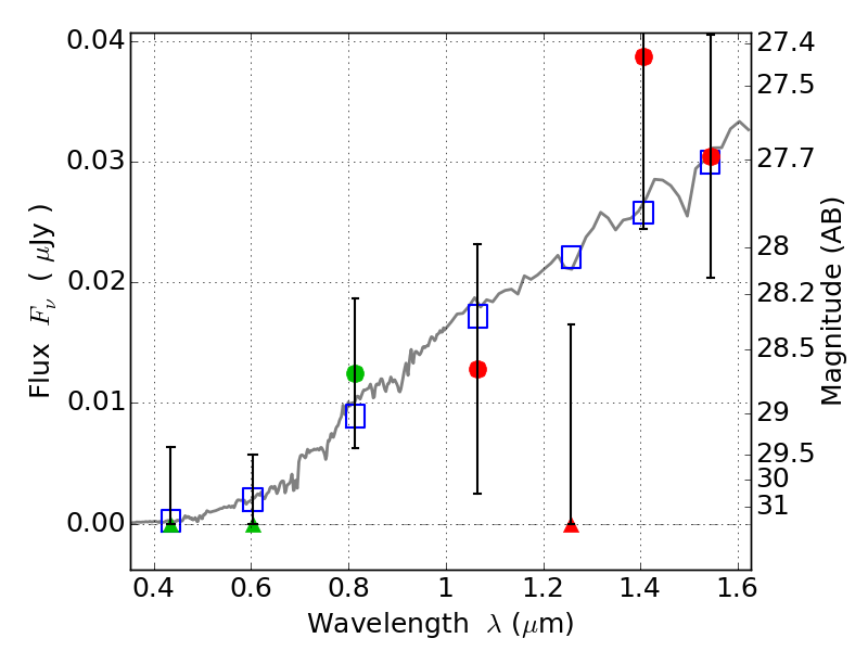
RXC0032+18 IR detection object #186

Color images and BPZ results
Catalog: 186.cat
Black segments are analyzed here.   Roll mouse over color images to view segments.
Best viewed in a wide browser window (1200 pixels or more).   Download SED & P(z) plots to view larger versions.
In P(z) plots: Yellow lines mark the cluster redshift z = 0.396,  

Object #186   x,y = (3362, 3216)   RA, Dec = (00:32:07.584, 18:08:35.16) = (8.03160, 18.14310)   BPZ = 0.755 [0.327--5.895]   type = 3.00 (Ell5_A_0)   chisq2 = 0.79   ODDS = 0.08   z_cluster = 0.396