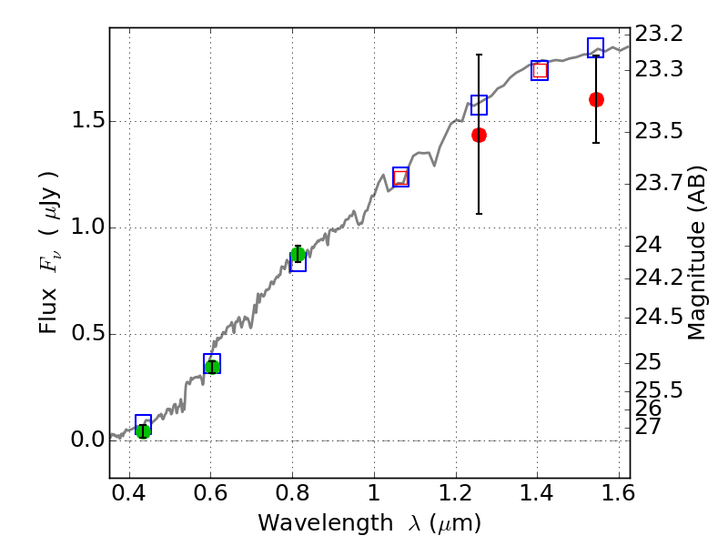
RXC0032+18 IR detection object #1064

Color images and BPZ results
Catalog: 1064.cat
Black segments are analyzed here.   Roll mouse over color images to view segments.
Best viewed in a wide browser window (1200 pixels or more).   Download SED & P(z) plots to view larger versions.
In P(z) plots: Yellow lines mark the cluster redshift z = 0.396,  

Object #1064   x,y = (2168, 1210)   RA, Dec = (00:32:12.600, 18:06:34.56) = (8.05250, 18.10960)   BPZ = 0.348 [0.254--3.990]   type = 3.00 (Ell5_A_0)   chisq2 = 0.65   ODDS = 0.69   z_cluster = 0.396