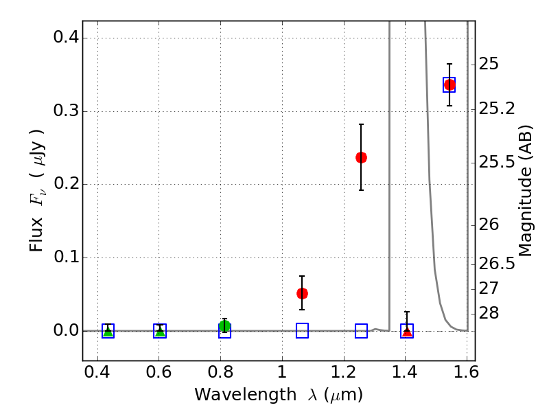
RXC0032+18 IR detection object #1053

Color images and BPZ results
Catalog: 1053.cat
Black segments are analyzed here.   Roll mouse over color images to view segments.
Best viewed in a wide browser window (1200 pixels or more).   Download SED & P(z) plots to view larger versions.
In P(z) plots: Yellow lines mark the cluster redshift z = 0.396,  

Object #1053   x,y = (2705, 1255)   RA, Dec = (00:32:10.344, 18:06:37.44) = (8.04310, 18.11040)   BPZ = 12.300 [6.622--12.962]   type = 11.00 (SB11_A_0_l)   chisq2 = 6.21   ODDS = 0.80   z_cluster = 0.396