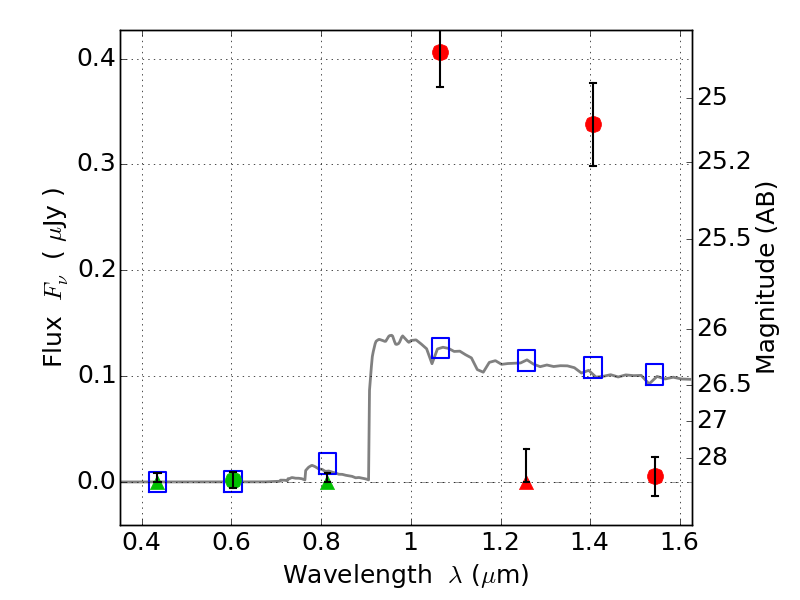
RXC0032+18 IR detection object #10

Color images and BPZ results
Catalog: 10.cat
Black segments are analyzed here.   Roll mouse over color images to view segments.
Best viewed in a wide browser window (1200 pixels or more).   Download SED & P(z) plots to view larger versions.
In P(z) plots: Yellow lines mark the cluster redshift z = 0.396,  

Object #10   x,y = (3022, 3631)   RA, Dec = (00:32:09.000, 18:09:0) = (8.03750, 18.15000)   BPZ = 6.463 [6.280--6.783]   type = 11.00 (SB11_A_0_l)   chisq2 = 33.38   ODDS = 0.97   z_cluster = 0.396